Ответы
Ответ дал:
0
// PascalABC.NET 3.3, сборка 1599 от 17.12.2017
// Внимание! Если программа не работает, обновите версию!
begin
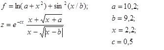
var (a,b,x,c):=(10.2,9.2,2.2,0.5);
var f:=Ln(a+x*x)+Sqr(Sin(x/b));
var z:=Exp(-c*x)*(x+sqrt(x+a))/(x-Sqrt(Abs(x-b)));
Writeln('f=',f,', z=',z)
end.
Результат
f=2.76681498092073, z=-4.27250886022099
// Внимание! Если программа не работает, обновите версию!
begin
var (a,b,x,c):=(10.2,9.2,2.2,0.5);
var f:=Ln(a+x*x)+Sqr(Sin(x/b));
var z:=Exp(-c*x)*(x+sqrt(x+a))/(x-Sqrt(Abs(x-b)));
Writeln('f=',f,', z=',z)
end.
Результат
f=2.76681498092073, z=-4.27250886022099
Вас заинтересует
2 года назад
2 года назад
3 года назад
3 года назад
9 лет назад
10 лет назад