Ответы
Ответ дал:
0
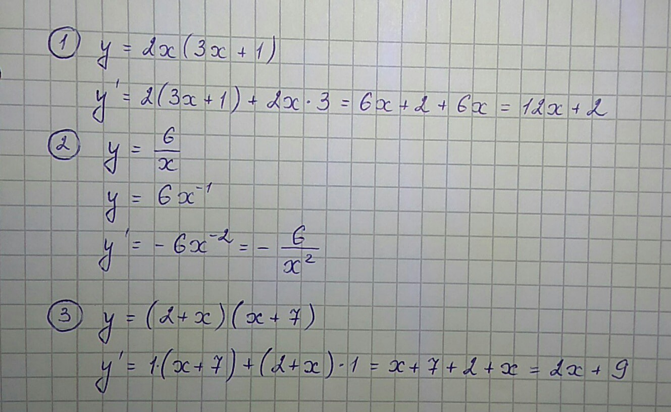
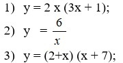
1) 6x²+2x
y'=12x+2
2) y'=
3) 2x+14+x²+7x=x²+9x+14
y'=2x+9
y'=12x+2
2) y'=
3) 2x+14+x²+7x=x²+9x+14
y'=2x+9
Ответ дал:
0
Ответы и решение на фото
Приложения:
Вас заинтересует
2 года назад
2 года назад
3 года назад
9 лет назад
10 лет назад