• Предмет: Алгебра
  • Автор: Инкогнитоххх
  • Вопрос задан 9 лет назад

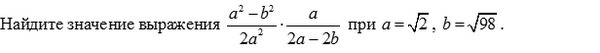
Задание во вложение. Распишите его, пожалуйста.

Приложения:

Ответы

Ответ дал: 1234567890198
0
Надеюсь разберёшься)
Приложения:
Вас заинтересует