• Предмет: Математика
  • Автор: drdana777
  • Вопрос задан 9 лет назад

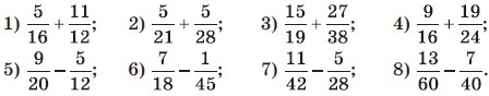
срочно с расписанием чтоб учительница не спалила

Приложения:

Ответа на этот вопрос пока нет. Попробуйте найти его через форму поиска.

Вас заинтересует