• Предмет: Алгебра
  • Автор: Аноним
  • Вопрос задан 9 лет назад

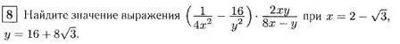
ПОМОГИТЕ ПОЖАЛУЙСТА СРОЧНО

Приложения:

Ответы

Ответ дал: anna2501v
0
Ответ: -2
Решение прилагаю
Приложения:
Вас заинтересует