• Предмет: Алгебра
  • Автор: TatianaSergeevna18
  • Вопрос задан 9 лет назад

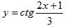
Помогите найти производную!!!

Приложения:

Ответы

Ответ дал: tanyakazanzewa
0
- 1/sin²(2x+1 3) * (2x+1 3)' = - 1/3sin²(2x+1 / 3)
Вас заинтересует