Ответы
Ответ дал:
0
перенесем все с правой части в левую
х²+13х+36=0
самый легкий способ решить, не используя дискриминант, это используя группировку
х²+4х+9х+36=0
х(х+4)+9(х+4)=0
(х+4)(х+9)=0
теперь просто каждую скобку приравниваем к нулю
1)х+4=0. 2)х+9=0
х1=-4. х2=-9
х²+13х+36=0
самый легкий способ решить, не используя дискриминант, это используя группировку
х²+4х+9х+36=0
х(х+4)+9(х+4)=0
(х+4)(х+9)=0
теперь просто каждую скобку приравниваем к нулю
1)х+4=0. 2)х+9=0
х1=-4. х2=-9
Ответ дал:
0
если правильно,то отметьте как лучший ответ,пожалуйста
Ответ дал:
0
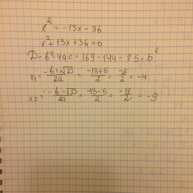
Ещё проще )) решение прикреплено
Приложения:
Вас заинтересует
2 года назад
2 года назад
3 года назад
3 года назад
9 лет назад
9 лет назад
10 лет назад