• Предмет: Алгебра
  • Автор: Leonova23
  • Вопрос задан 9 лет назад

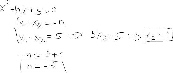
в уравнение x²+nx+5=0 один из корней равен 5. Найдите коэффициент n и второй корень уравнения.

Ответы

Ответ дал: Аноним
0
wq2e3r45y6u7ik6tyyyeruikhjgrfwe
Приложения:
Вас заинтересует