• Предмет: Математика
  • Автор: АдельBOSS
  • Вопрос задан 9 лет назад

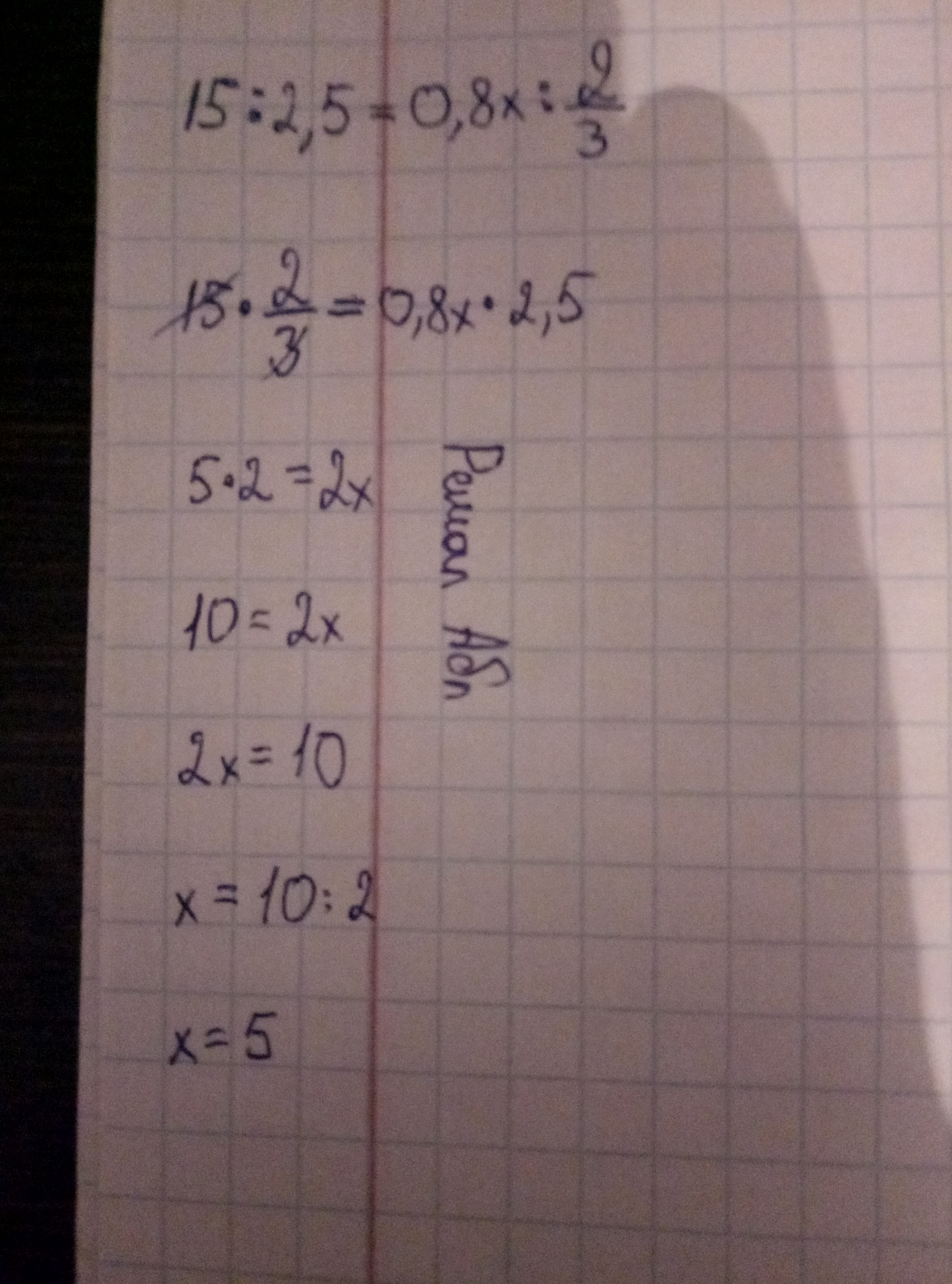
Помогите пожалуйста. Заранее спасибо!

Приложения:

Ответы

Ответ дал: strigii0yunosha
0
15     0,8х
2,5     2/3

0,8х = (15*2/3) / 2,5
0,8х = 10 /2,5
0,8х = 4
х= 4 / 0,8
х= 5
Ответ дал: абл
0
Если не понятно, обращайся
Приложения:
Ответ дал: АдельBOSS
0
спасибо большое.
Ответ дал: абл
0
Всегда пожалуйста, обращайся
Вас заинтересует