• Предмет: Алгебра
  • Автор: nikivladqwedc
  • Вопрос задан 9 лет назад

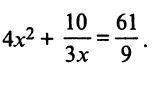
Ребят, как из первого уравнения переделать его в такой вид

Приложения:

Ответы

Ответ дал: MenPelmen
0
4x^2+ frac{10}{3x}= frac{61}{9}  \
 frac{61}{9} = frac{36}{9}+ frac{25}{9}=4+ frac{25}{9}   \
4x^2+ frac{10}{3x}=4+ frac{25}{9} \
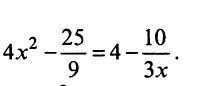
4x^2- frac{25}{9}=4- frac{10}{3x}
Ответ дал: nikivladqwedc
0
большое спасибо
Вас заинтересует