• Предмет: Алгебра
  • Автор: StepokRusya
  • Вопрос задан 9 лет назад

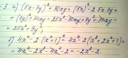
Упростите выражение:  ((3))

Приложения:

Ответы

Ответ дал: matilda17562
0
Решение во вложенном изображении
Приложения:
Вас заинтересует