• Предмет: Алгебра
  • Автор: 34orif1
  • Вопрос задан 9 лет назад

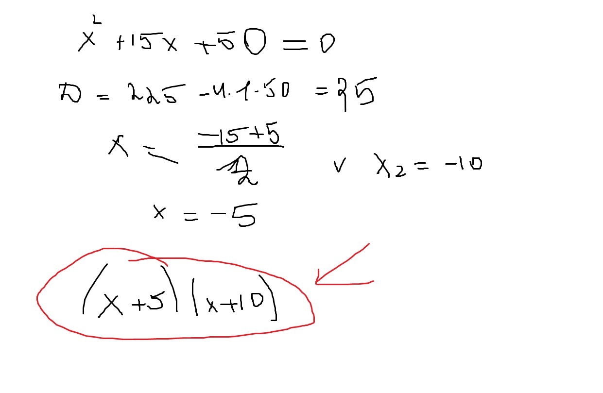
Разложите нв множетели трёхчлен x^2+15x+50

Ответы

Ответ дал: anastasiaKar01
0
................................
Приложения:
Вас заинтересует