• Предмет: Алгебра
  • Автор: alinamalinachka
  • Вопрос задан 9 лет назад

Как решить этот пример , 10 класс ( Степени ) .

Приложения:

Ответы

Ответ дал: kannaxima
0
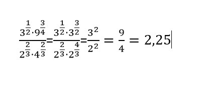
Вот.  держи .............................................
Приложения:
Вас заинтересует