• Предмет: Математика
  • Автор: tanyaapple13
  • Вопрос задан 9 лет назад

помогитеее з інтегралами очень срочно надо

Приложения:

Ответы

Ответ дал: Аноним
0
displaystyle intlimits^{ frac{pi}{4} }_0 cos5xcos 3xdx+intlimits^{ frac{pi}{4} }_0sin5xsin3xdx=\ \ \ =intlimits^{ frac{pi}{4} }_0(cos5xcos3x+sin5xsin3x)dx=intlimits^{ frac{pi}{4} }_0cos(5x-3x)dx=\ \ \ =intlimits^{ frac{pi}{4} }_0cos2xdx= frac{1}{2} sin2xbigg|^{ frac{pi}{4} }_0= frac{1}{2} sinfrac{pi}{2} - frac{1}{2} sin0=frac{1}{2}

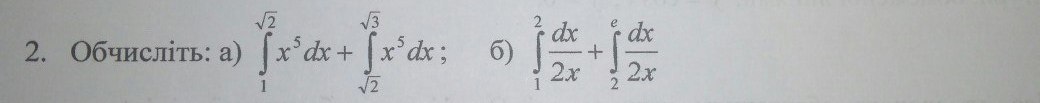
a)~~~displaystyle  intlimits^{ sqrt{2} }_1 x^5dx+intlimits^{ sqrt{3} }_{ sqrt{2} }x^5dx=intlimits^{ sqrt{3} }_1x^5dx= frac{x^6}{6}bigg|^{ sqrt{3} } _1= frac{27}{6}- frac{1}{6}  = frac{13}{3}

b)~~~displaystyle intlimits^2_1  frac{dx}{2x} +intlimits^e_2  frac{dx}{2x} =intlimits^e_1  frac{dx}{2x} = frac{1}{2} ln|x|bigg|^e_1= frac{1}{2} ln e-frac{1}{2}ln 1=frac{1}{2}
Вас заинтересует