Ответы
Ответ дал:
0
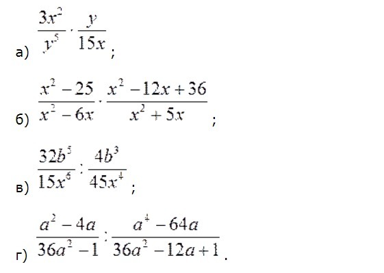
а)

б)

в)

г)
б)
в)
г)
Ответ дал:
0
если правильно,то отметьте как лучший ответ,пожалуйста
Ответ дал:
0
Завтра отмечу, если правильно
Ответ дал:
0
ок
Вас заинтересует
2 года назад
2 года назад
3 года назад
9 лет назад
9 лет назад
10 лет назад
10 лет назад