• Предмет: Математика
  • Автор: наджела
  • Вопрос задан 11 лет назад

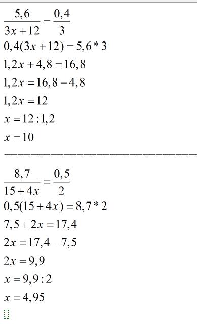
решите уравнения только 2 заранее спасибо
если можете то побыстрее

Приложения:

Ответы

Ответ дал: triolana
0
======================================
Приложения:
Вас заинтересует