• Предмет: Алгебра
  • Автор: larson6909
  • Вопрос задан 9 лет назад

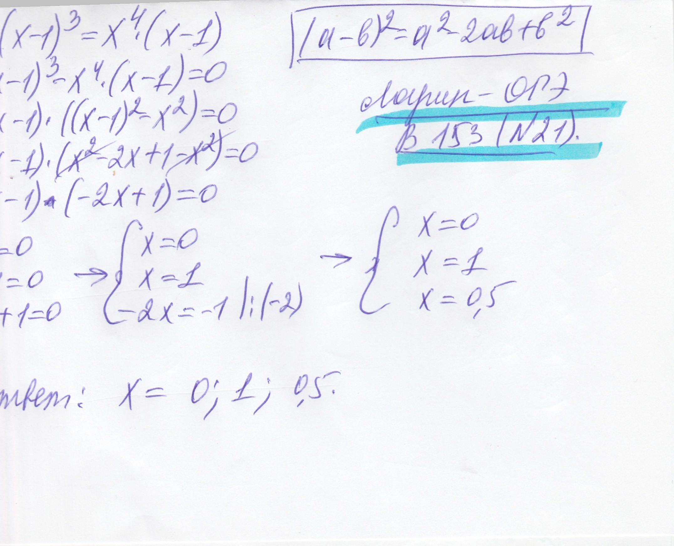
Решить уравнение

x^2(x-1)^3=X^4(x-1)

Решение:

Приложения:

Ответы

Ответ дал: star4567
0
нафик спрашиваеш если сама написала ответ
Ответ дал: larson6909
0
Долго ждала, дали неправильное решение
Ответ дал: larson6909
0
сфоткаф с телефона
Ответ дал: larson6909
0
поэтому- решение
Вас заинтересует