• Предмет: Математика
  • Автор: TheVladCross
  • Вопрос задан 9 лет назад

Помогите решить с 1 по 6 пожалуйста(любой вариант)

Приложения:

Ответы

Ответ дал: Trover
0
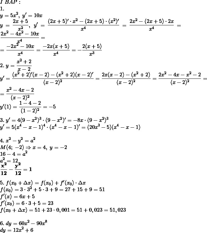
I;BAP:\1.\y=5x^2,;y'=10x\y=frac{2x+5}{x^2},;y'=frac{(2x+5)'cdot x^2-(2x+5)cdot(x^2)'}{x^4}=frac{2x^2-(2x+5)cdot2x}{x^4}=frac{2x^2-4x^2-10x}{x^4}=\=frac{-2x^2-10x}{x^4}=frac{-2x(x+5)}{x^4}=-frac{2(x+5)}{x^3}\\2.;y=frac{x^2+2}{x-2}\y'=frac{(x^2+2)'(x-2)-(x^2+2)(x-2)'}{(x-2)^2}=frac{2x(x-2)-(x^2+2)}{(x-2)^2}=frac{2x^2-4x-x^2-2}{(x-2)^2}=\=frac{x^2-4x-2}{(x-2)^2}\y'(1)=frac{1-4-2}{(1-2)^2}=-5

3.;y'=4(9-x^2)^3cdot(9-x^2)'=-8xcdot(9-x^2)^3\y'=5(x^4-x-1)^4cdot(x^4-x-1)'=(20x^3-5)(x^4-x-1)\\4.;x^2-y^2=a^2\M(4;;-2)Rightarrow x=4,;y=-2\16-4=a^2\a^2=12\bold{frac{x^2}{12}-frac{y^2}{12}=1}

5.;f(x_0+Delta x)=f(x_0)+f'(x_0)cdotDelta x\f(x_0)=3cdot3^2+5cdot3+9=27+15+9=51\f'(x)=6x+5\f'(x_0)=6cdot3+5=23\f(x_0+Delta x)=51+23cdot0,001=51+0,023 = 51,023\\6.;dy=60x^2-90x^8\dy=12x^2+6
Приложения:
Ответ дал: TheVladCross
0
Спасибо огромное!
Вас заинтересует