Ответы
Ответ дал:
0
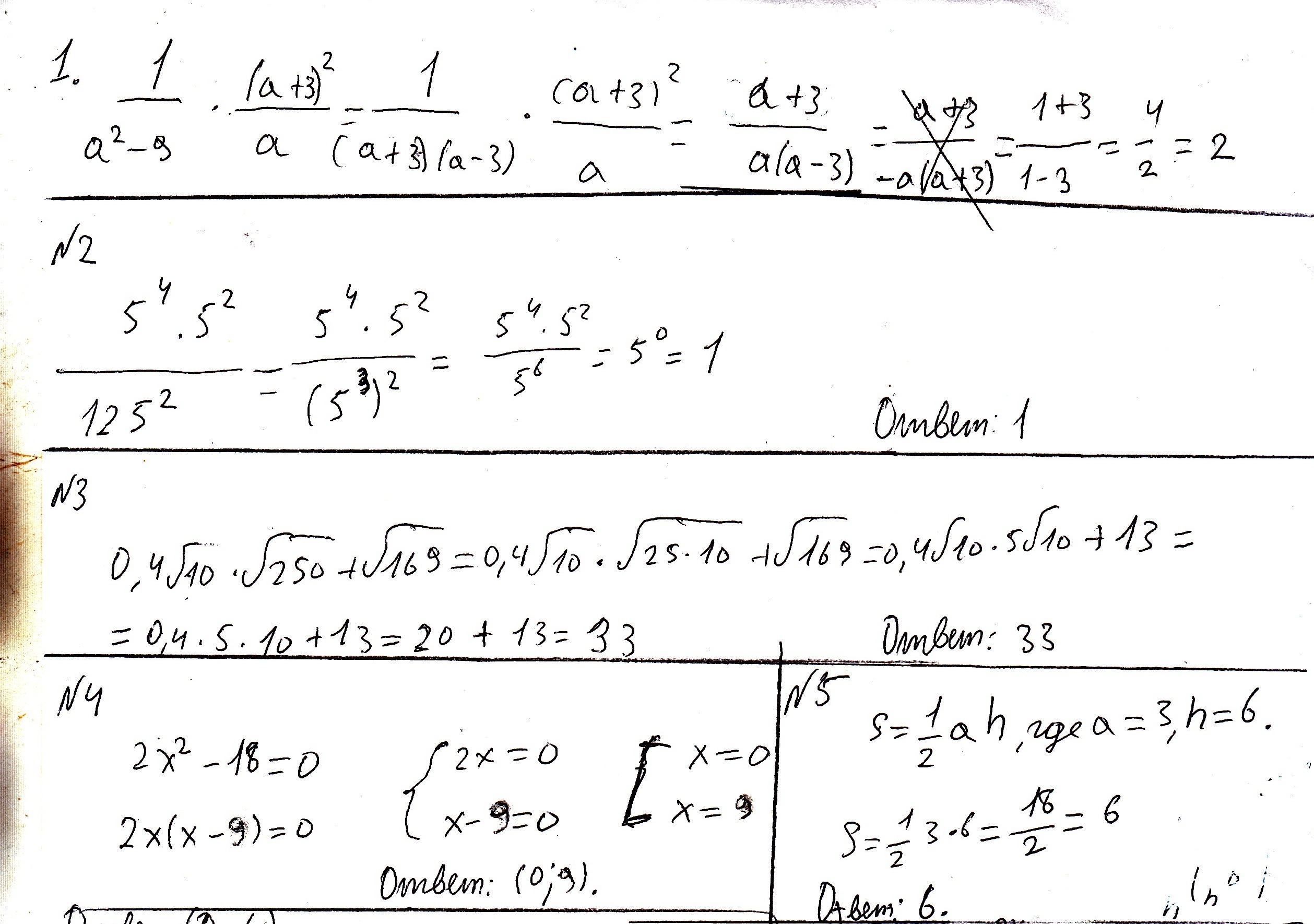
Решение на фото.
Применяем:
1) формулы сокр. умножения (a^2 - b^2) = (a+b)(a-b)
2) свойства степеней: 125^2 = (5^3)^2=5^6 (так как при умножение степени на степень - показатели умножаются.
Возведение любого числа в 0 их результат равен 1.
3) Свойства корней - умножение корень на корень, подкоренные выражение умножаются.
4) Разложение на множители.
5) Формулу площади треугольника
Применяем:
1) формулы сокр. умножения (a^2 - b^2) = (a+b)(a-b)
2) свойства степеней: 125^2 = (5^3)^2=5^6 (так как при умножение степени на степень - показатели умножаются.
Возведение любого числа в 0 их результат равен 1.
3) Свойства корней - умножение корень на корень, подкоренные выражение умножаются.
4) Разложение на множители.
5) Формулу площади треугольника
Приложения:

Вас заинтересует
2 года назад
2 года назад
3 года назад
3 года назад
9 лет назад
10 лет назад