Ответы
Ответ дал:
0
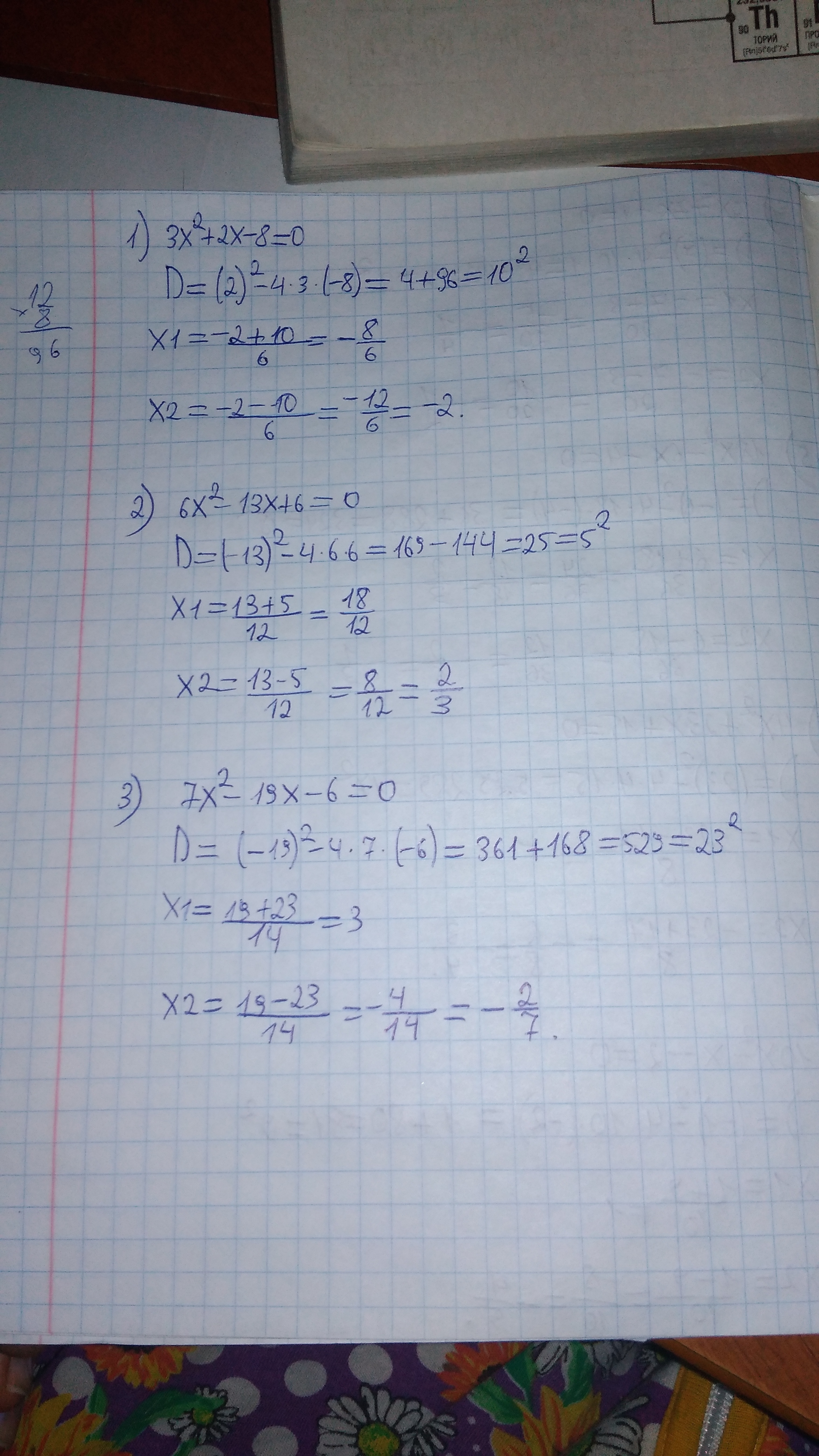
Всё решено на фотографиях. Формулы такие :
Дискриминанта - D=b в 2-4ас
Корней х1и х2: х1=-b+квадратный корень из D
x2=-b - квадратный корень из D
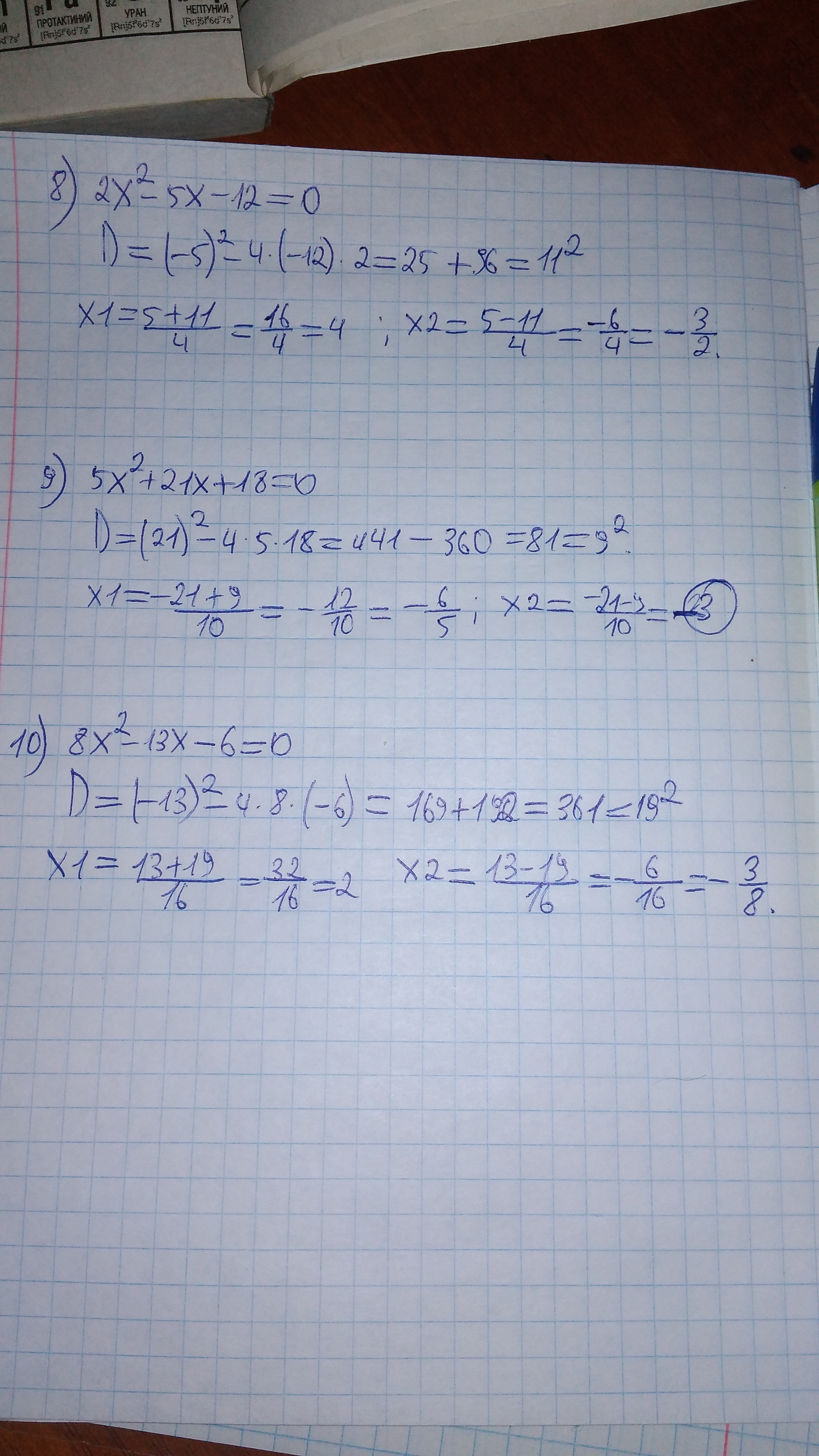
Дискриминанта - D=b в 2-4ас
Корней х1и х2: х1=-b+квадратный корень из D
x2=-b - квадратный корень из D
Приложения:



Ответ дал:
0
Спасибоооо
Вас заинтересует
2 года назад
2 года назад
3 года назад
3 года назад
9 лет назад