• Предмет: Алгебра
  • Автор: дашадашадаша3232
  • Вопрос задан 9 лет назад

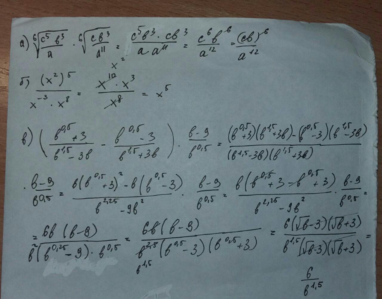
Упростите
Алгебра 10 класс

Приложения:

Ответы

Ответ дал: hpforever
0
Надеюсь, что понятно. Будут вопросы, пишите.
Приложения:
Ответ дал: дашадашадаша3232
0
Спасибо большое!!!!
Вас заинтересует