• Предмет: Математика
  • Автор: akkusha1
  • Вопрос задан 9 лет назад

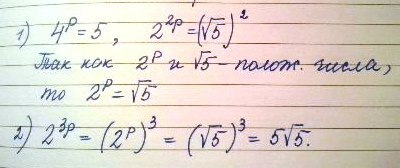
Срочно нужна помощь,помогите пожалуйста... Если 4^p =5,то найти 2^3p

Ответы

Ответ дал: matilda17562
0
Решение в прикреплённом изображении
Приложения:
Вас заинтересует