• Предмет: Алгебра
  • Автор: violettalozova
  • Вопрос задан 9 лет назад

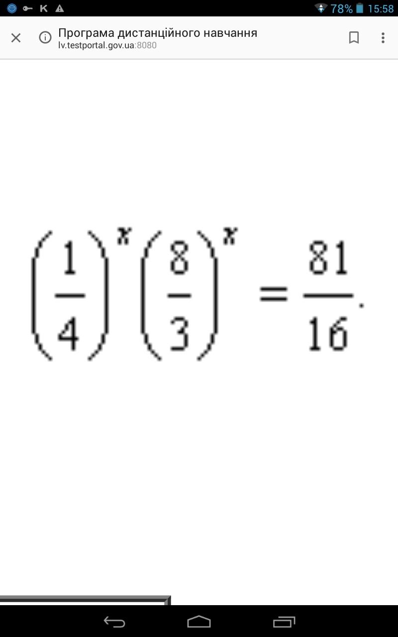
Решите уравнение даю 15 баллов

Приложения:

Ответы

Ответ дал: Дмитрий1425
0
( frac{1}{4})^x ( frac{8}{3})^x= frac{81}{16}\( frac{1}{4}* frac{8}{3} )^x=( frac{2}{3}) ^{-4}\( frac{2}{3})^x=( frac{2}{3}) ^{-4}      =-4
Ответ дал: laska06464
0
Как то так .................
Приложения:
Вас заинтересует