• Предмет: Алгебра
  • Автор: Михаил200324
  • Вопрос задан 9 лет назад

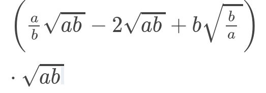
Упростить выражение (a>0, b>0):

Приложения:

Ответы

Ответ дал: Donaticher
0
 frac{a}{b} * ab - 2ab + b^{2}  =  a^{2} -2ab +  b^{2} = (a-b)^2
Вас заинтересует