• Предмет: Алгебра
  • Автор: amirgubzh
  • Вопрос задан 9 лет назад

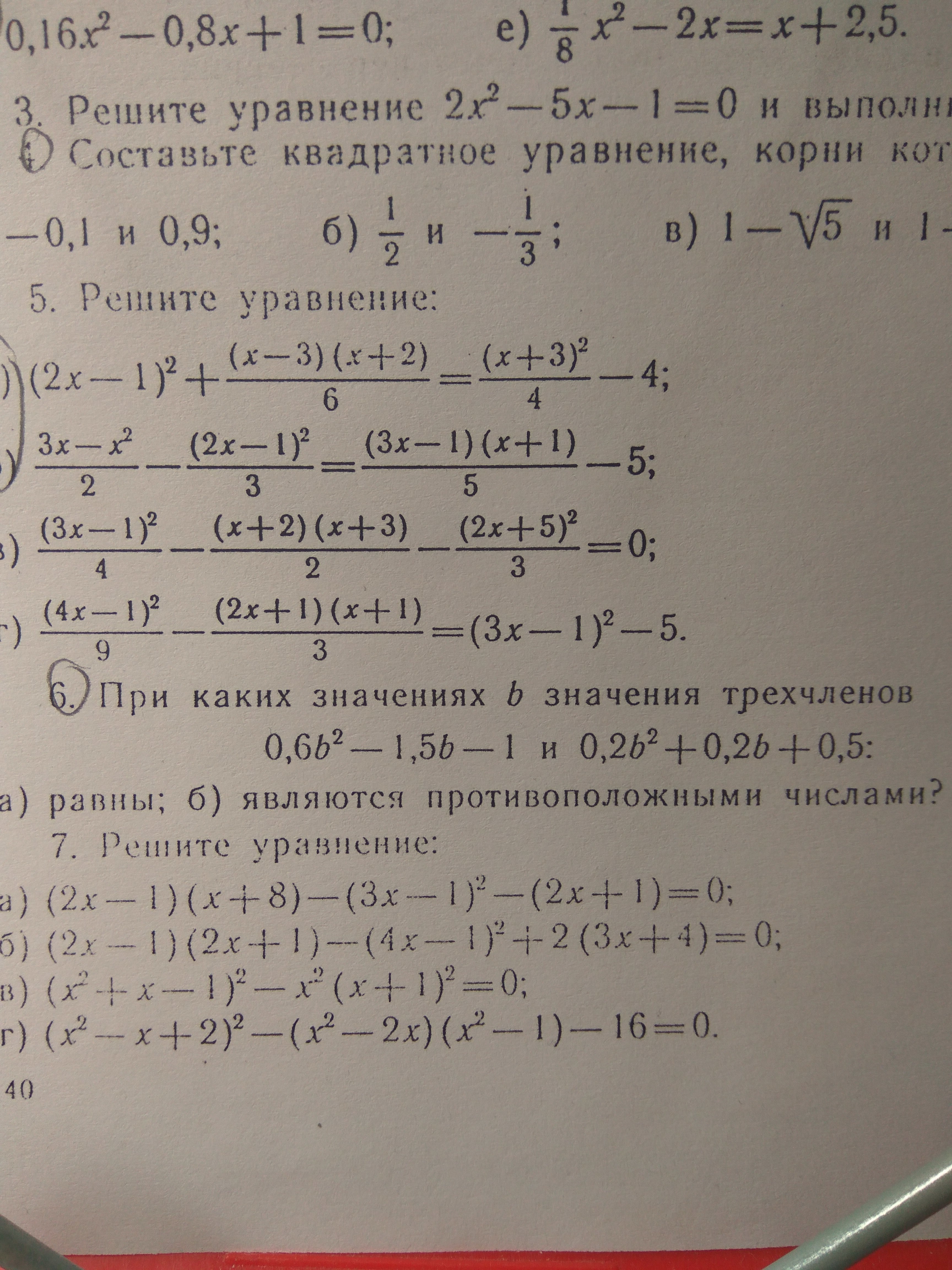
Прошу помочь с решение номера 6 б в домашней к/р. Заранее спасибо!

Приложения:

Ответы

Ответ дал: m11m
0
!!!!!!!!!!!!!!!!!!!!!!!!!!
Приложения:
Вас заинтересует