Логарифмы
Помогите пожалуйста решить ( очень нужно решение ), буду очень благодарен))))
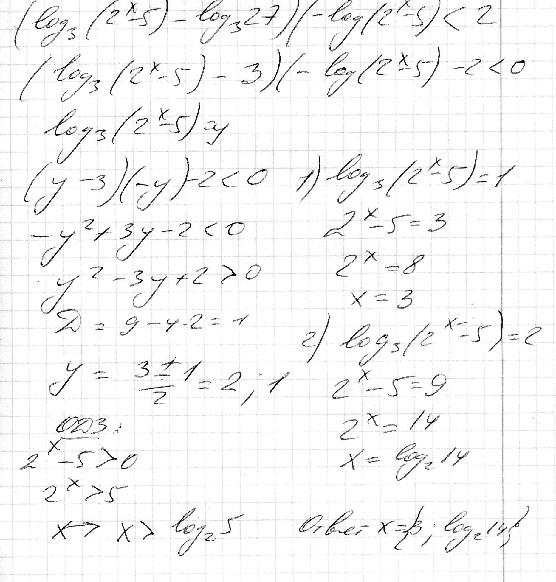
Приложения:

Ответы
Ответ дал:
0
.................................................
Приложения:

Ответ дал:
0
СПАСИИИИБООО
Вас заинтересует
2 года назад
2 года назад
3 года назад
3 года назад
9 лет назад
9 лет назад
10 лет назад