• Предмет: Алгебра
  • Автор: amaykovska
  • Вопрос задан 9 лет назад

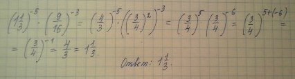
(1 1/3)в степені -5 помнпжити (9/16) в степені-3

Ответы

Ответ дал: matilda17562
0
Решение во вложенном изображении
Приложения:
Вас заинтересует