• Предмет: Математика
  • Автор: kartashovaanyu
  • Вопрос задан 9 лет назад

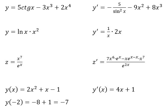
Помогите решить, под 19

Приложения:

Ответы

Ответ дал: FleedX
0
....................
Приложения:
Вас заинтересует
3 года назад