• Предмет: Математика
  • Автор: lmhlpmftmpmp05no1
  • Вопрос задан 9 лет назад

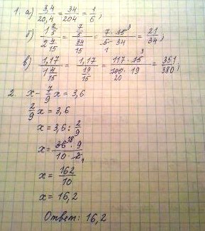
1. Найдите значение выражения:
а)3,4/20,4 ; б)1 2/5 /2 4/15 ; в)1,17/1 4/15 .
2. Решите уравнение:  х-7/9х=3,6.
3. Заасфальтировали 5/9  дороги, что составило 45 км. Какова длина всей дороги?
4. Вспахали 45 % поля, после чего осталось вспахать ещё 165 га. Какова площадь всего поля?
5. 0,7 от 40 % числа d равны 2,94. Найдите число d.

Ответы

Ответ дал: matilda17562
0
Решение в прикреплённом изображении
Приложения:
Ответ дал: lmhlpmftmpmp05no1
0
Спасибо
Вас заинтересует