• Предмет: Математика
  • Автор: Nasi2503
  • Вопрос задан 9 лет назад

СРОЧНО ПОМОГИТЕ ПОЖАЛУЙСТА РЕШИТЬ!!!
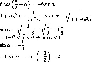
1) 6 cos (pi/2 +a), ctg=2 корней из 2, -180 <а<0

Ответы

Ответ дал: Trover
0
6cosleft(fracpi2+alpharight)=-6sinalpha\1+ctg^2alpha=frac1{sin^2alpha}Rightarrowsinalpha=sqrt{frac1{1+ctg^2alpha}}\sinalpha=sqrt{frac1{1+8}}=sqrt{frac19}=pmfrac13\-180^o textless  alpha textless  0Rightarrowsinalpha textless  0\sinalpha=-frac13\-6sinalpha=-6cdotleft(-frac13right)=2
Приложения:
Вас заинтересует