• Предмет: Математика
  • Автор: NazarPapa
  • Вопрос задан 9 лет назад

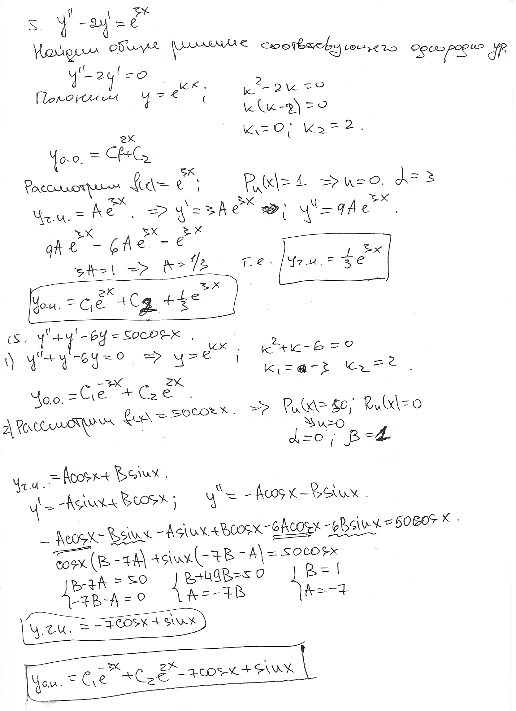
Помогите решить!! Номера 5 и 15 y(чн) и y(oн)

Приложения:

Ответы

Ответ дал: Аноним
0
****************************************
Приложения:
Вас заинтересует