Ответы
Ответ дал:
0
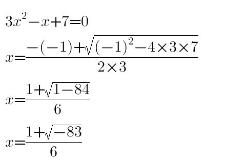
так как D<0 уравнение не имеет решений в действительных числах.
решаем в комплексных:
Ответ дал:
0
можно проверку
Ответ дал:
0
Решение на изображении.
Выражение не имеет решений при огромном количестве действительный чисел.
Выражение не имеет решений при огромном количестве действительный чисел.
Приложения:

Вас заинтересует
2 года назад
2 года назад
3 года назад
3 года назад
9 лет назад
10 лет назад