Ответы
Ответ дал:
0
Приложения:

Ответ дал:
0
А можно решение на листочке?)
Ответ дал:
0
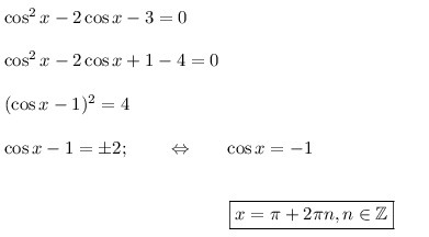
Так достаточно
Вас заинтересует
2 года назад
3 года назад
9 лет назад
10 лет назад
10 лет назад