• Предмет: Алгебра
  • Автор: АхметДжамшут
  • Вопрос задан 9 лет назад

ПАЦАНЫ ЩА УЖЕ НАДО СДАТЬ ПОМОГИТЕ ПЖЛСТ РАДИ БОГА
АЛГЕБРА ИЗИ ВАЩЕ ДАЮ 34 БАЛЛА

Приложения:

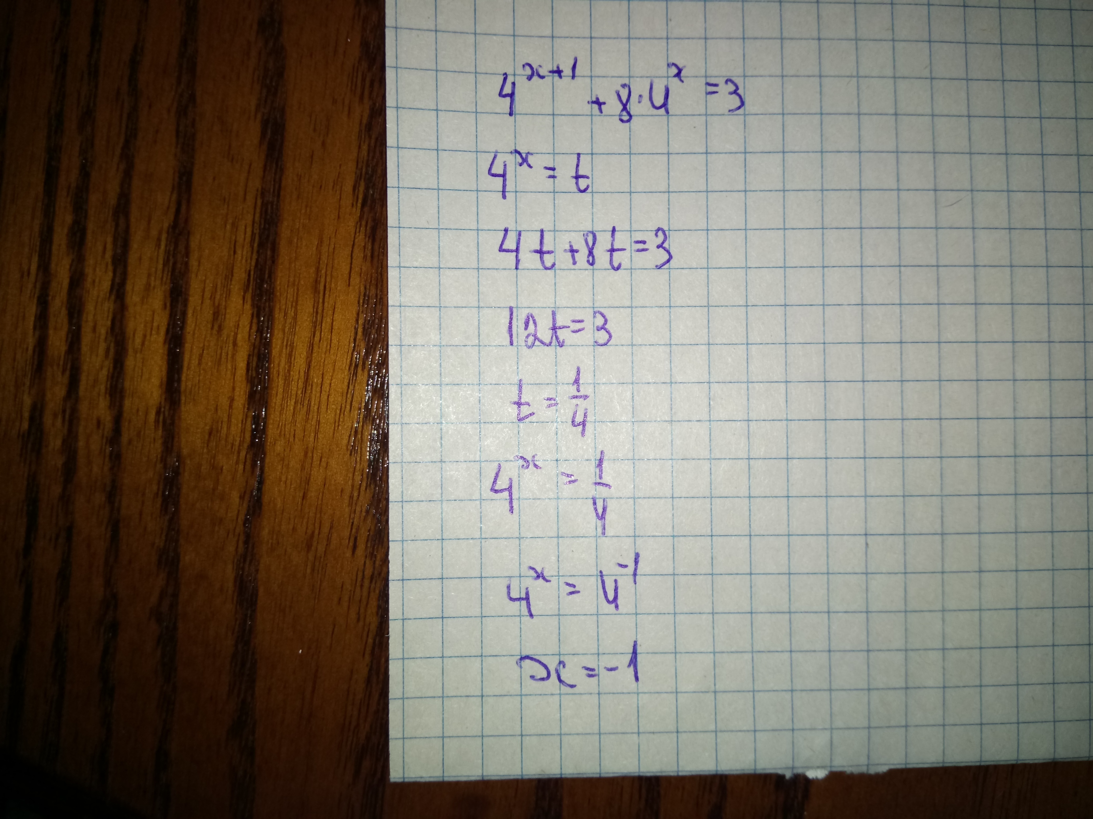
Ответы

Ответ дал: valenivan
0
Решение задания приложено
Приложения:
Вас заинтересует