• Предмет: Математика
  • Автор: GDBabe
  • Вопрос задан 9 лет назад

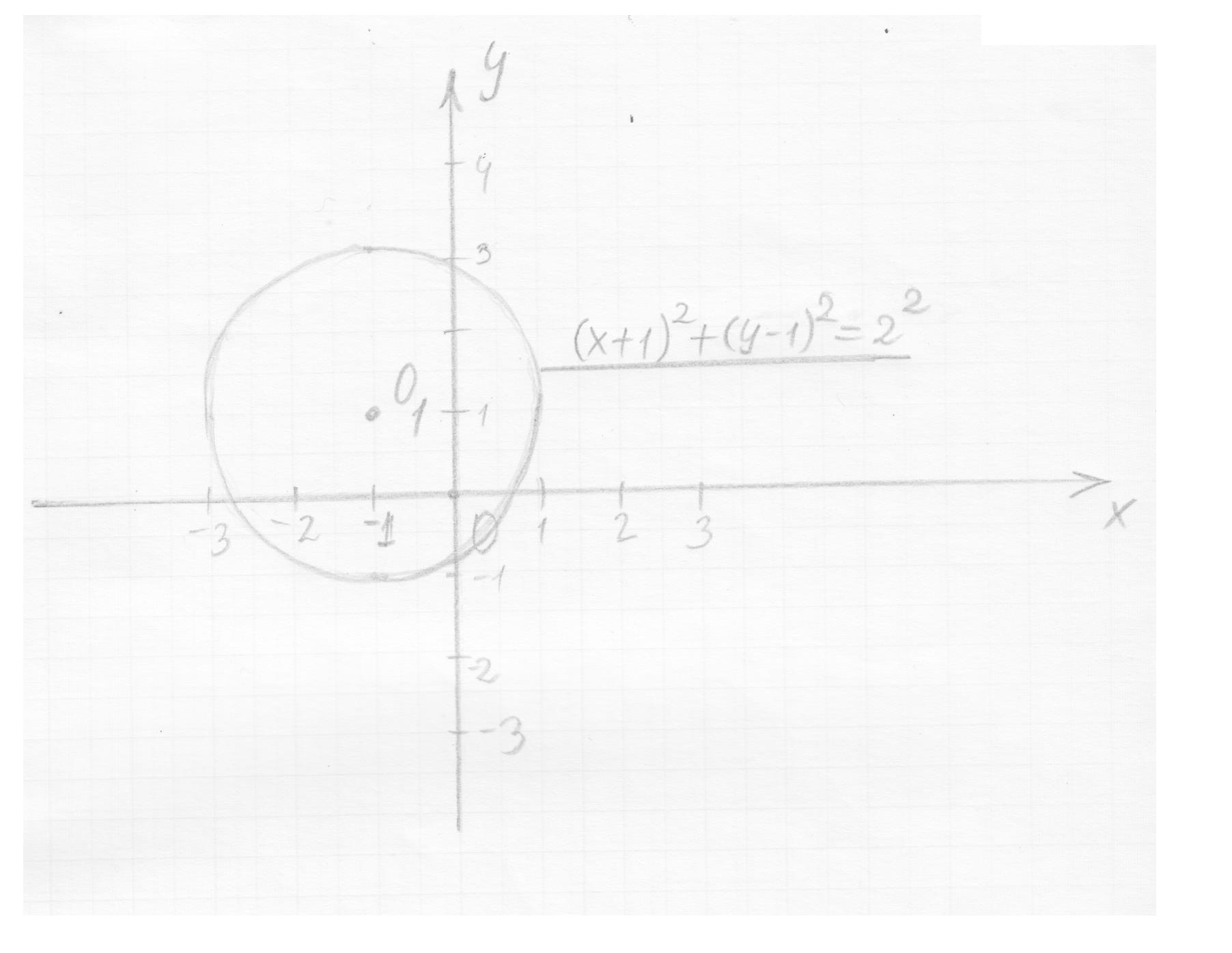
Определить КВП и построить кривую. Найти параметры КВП

(x+1)²+(y-1)²=4

Ответы

Ответ дал: bearcab
0
Решение в приложении.

Это окружность с радиусом 2. Центр окружности О(-1;1) 
Приложения:
Вас заинтересует