• Предмет: Математика
  • Автор: gameszzot7e2z
  • Вопрос задан 9 лет назад

Помогите вычислить определитель.
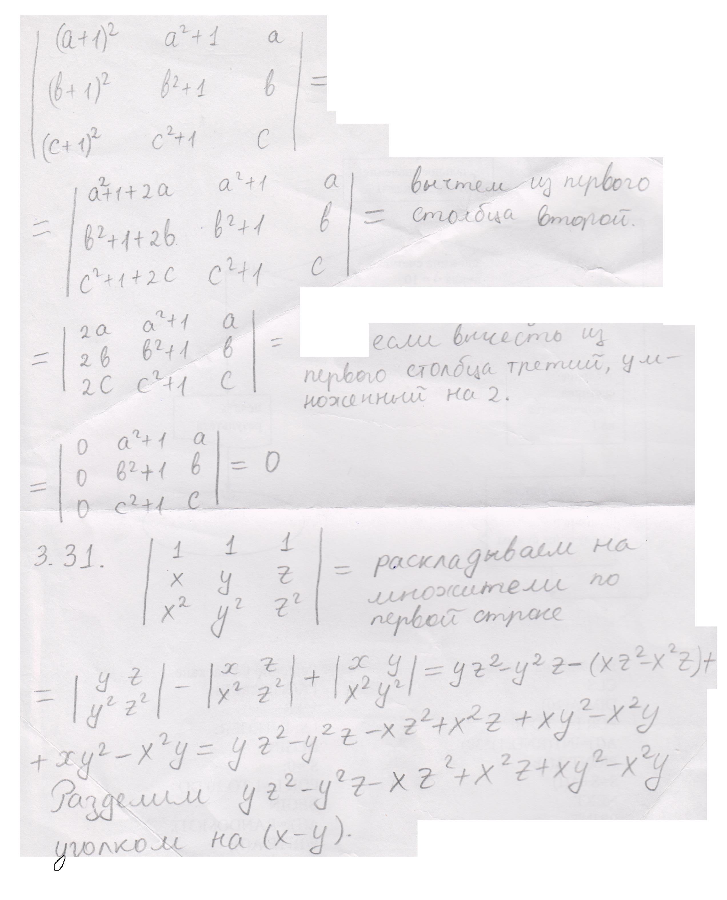
1. Вычислить определитель используя свойства определителя 3го порядка (3.28)
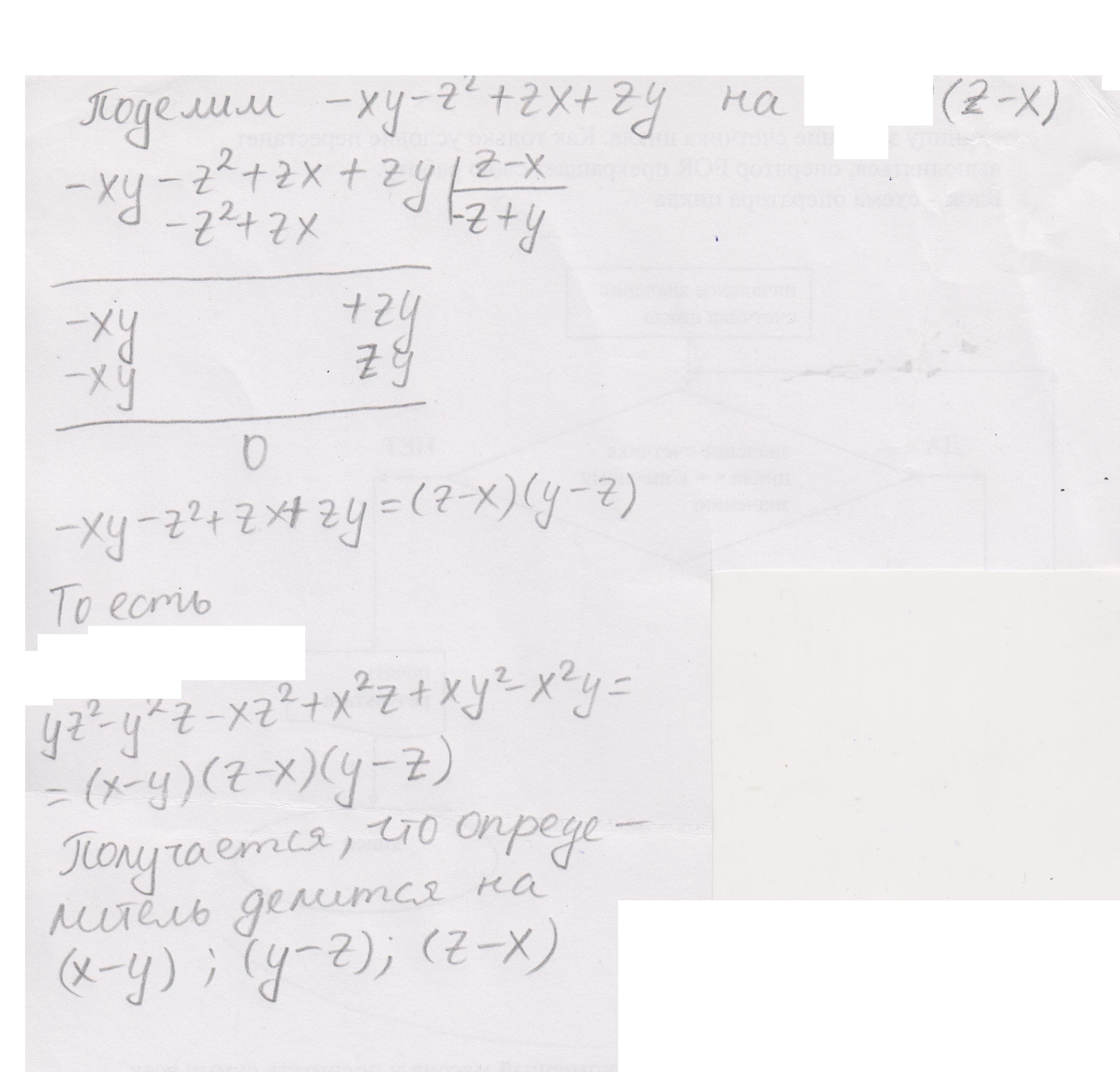
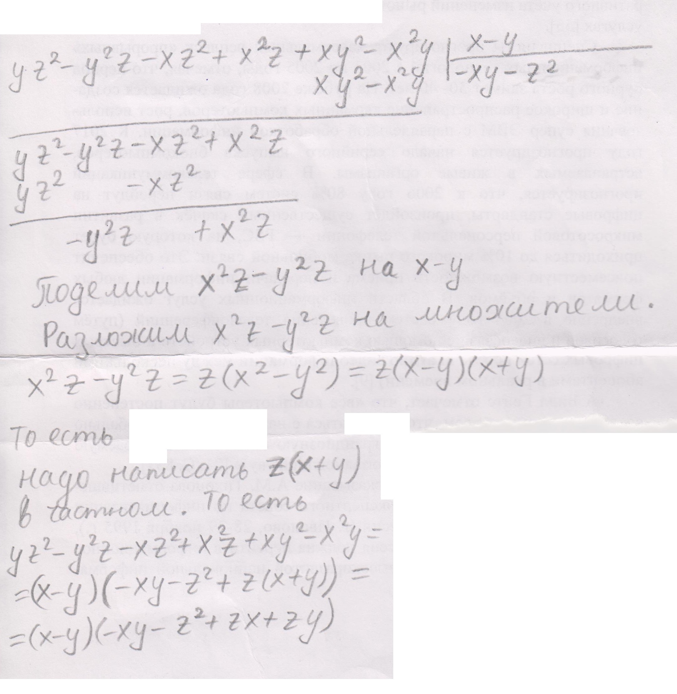
2. Проверить что определитель делится на: x-y, y-z, z-x (3.31)
Заранее спасибо за помощь С:

Приложения:

Ответы

Ответ дал: bearcab
0

Решение в приложении. Ответ: первый определитель равен 0. Так как столбцы линейно-зависимы.

left[begin{array}{ccc}(a+1)^2&a^2+1&a\(b+1)^2&b^2+1&b\(c+1)^2&c^2+1&cend{array}right]=0

Второй определитель делится на все эти множители.


left[begin{array}{ccc}1&1&1\x&y&z\x^2&y^2&z^2end{array}right] =(x-y)(z-x)(y-z)

Приложения:
Вас заинтересует