• Предмет: Алгебра
  • Автор: Botan14
  • Вопрос задан 9 лет назад

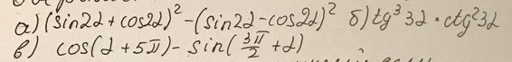
упростите три выражения

Приложения:

Ответы

Ответ дал: Amfitom1ne
0
a) (sin(2a)+cos(2a))^2-(sin(2a)-cos(2a))^2=sin^2(2x)+ 2sin(2a)-cos(2a)+cos^2(2a)-sin^2(2a)+2sin2(2a)cos(2a)-cos^2(2a)=4sin(2a)cos(2a)=2sin(4a)
б)tg^3(32)ctg^2(32)=tg(32)
Вас заинтересует