представьте в виде дроби выражения лучшее решение дам обещаю только напишите пожалуста ответы с решением
Приложения:

Ответы
Ответ дал:
0
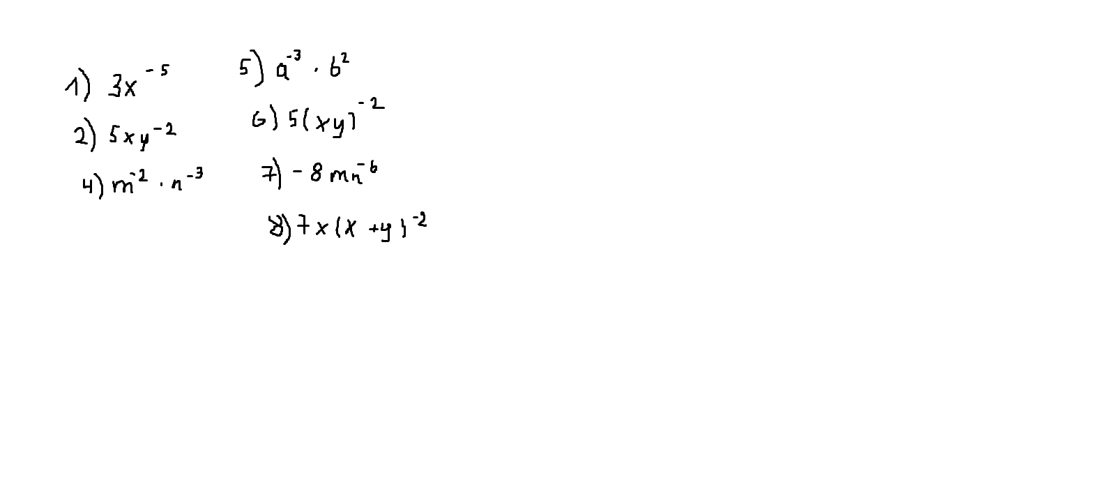
1
3 / x^5
2
5x / y^2
4
1 / (m^2*n^3)
5
b^2 / a^3
6
5 / (xy)^2
7
- 8m / n^6
8
7x / (x+y)^2
3 / x^5
2
5x / y^2
4
1 / (m^2*n^3)
5
b^2 / a^3
6
5 / (xy)^2
7
- 8m / n^6
8
7x / (x+y)^2
Вас заинтересует
2 года назад
2 года назад
8 лет назад
8 лет назад
10 лет назад
10 лет назад
10 лет назад