• Предмет: Математика
  • Автор: Slobodenyuk21
  • Вопрос задан 9 лет назад

Спасибо за ранее!!!!!

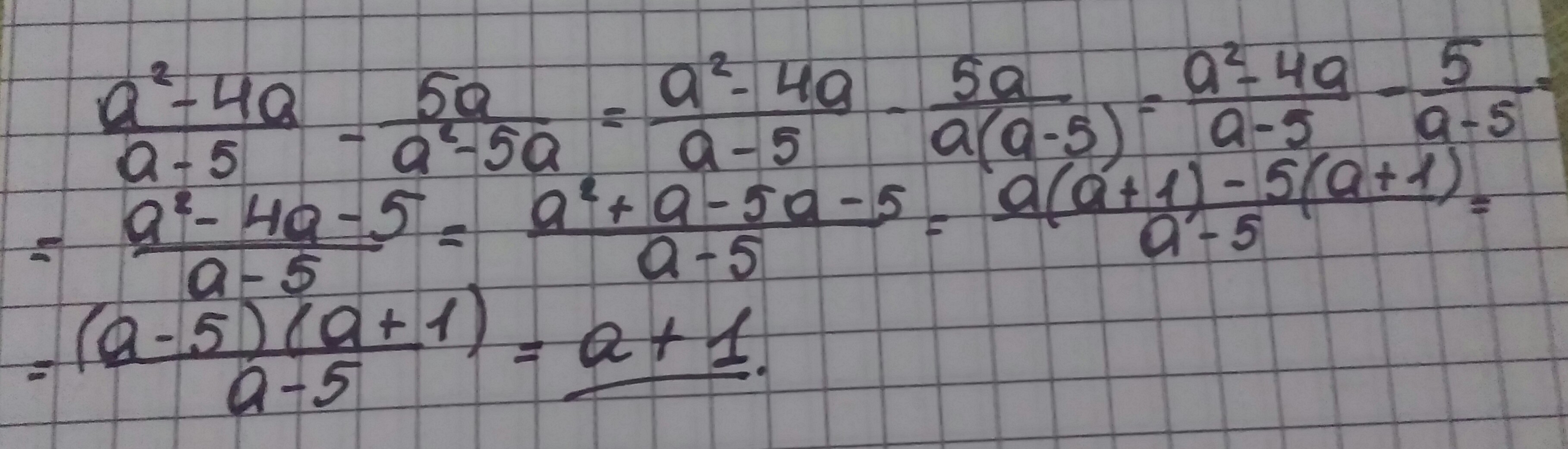
Приложения:

Ответы

Ответ дал: Skittyk
0
............................
Приложения:
Вас заинтересует