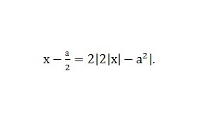
Найти все значения параметра а, при каждом из которых уравнение имеет три различных корня
Приложения:
Ответы
Ответ дал:
0
Рассмотрим две функции вида y=x-a/2 и y=2|2|x|-a^2| .
1) линейная функция y=x-a/2 будет пересекать оси OX и OY в точка (a/2,0) и (0,-a/2)
2) функция y=2|2|x|-a^2| при x>=0 , получаем y=2|2x-a^2| откуда при x>=a^2/2 функция примет вид y=2(2x-a^2), при x
3) Так как прямые коэффициенты при прямых y=x и y=4x не равны или не параллельные, тогда чтобы уравнение имело ровно три корня требуется чтобы прямая y=x-a/2 касалась другую прямую в точках либо (-a^2/2,0) либо (0,2a^2) иначе уравнение будет иметь либо два решения либо четыре.
Подстановкой точек в уравнение y=x-a/2 получаем
1. 0=-a^2/2-a/2 откуда a=0 не подходит и a=-1 .
2. 2a^2=-a/2 откуда a=0 подходит и a=-1/4 .
Ответ a=-1 и a=-1/4 .
1) линейная функция y=x-a/2 будет пересекать оси OX и OY в точка (a/2,0) и (0,-a/2)
2) функция y=2|2|x|-a^2| при x>=0 , получаем y=2|2x-a^2| откуда при x>=a^2/2 функция примет вид y=2(2x-a^2), при x
3) Так как прямые коэффициенты при прямых y=x и y=4x не равны или не параллельные, тогда чтобы уравнение имело ровно три корня требуется чтобы прямая y=x-a/2 касалась другую прямую в точках либо (-a^2/2,0) либо (0,2a^2) иначе уравнение будет иметь либо два решения либо четыре.
Подстановкой точек в уравнение y=x-a/2 получаем
1. 0=-a^2/2-a/2 откуда a=0 не подходит и a=-1 .
2. 2a^2=-a/2 откуда a=0 подходит и a=-1/4 .
Ответ a=-1 и a=-1/4 .
Вас заинтересует
2 года назад
3 года назад
3 года назад
9 лет назад
10 лет назад