• Предмет: Алгебра
  • Автор: Змей24
  • Вопрос задан 9 лет назад

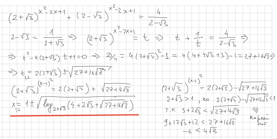
(2 +sqrt{3} )^{x^{2}-2x+1}+(2 -sqrt{3} )^{x^{2}-2x+1} =  frac{4}{2 -sqrt{3} }

Ответы

Ответ дал: Denik777
0
Ответ некрасивый. Не знаю, можно ли его упростить, или это просто в условии опечатка.
Приложения:
Ответ дал: Змей24
0
Спасибо. В который раз вы меня выручаете!
Вас заинтересует