• Предмет: Математика
  • Автор: apugacheva97
  • Вопрос задан 9 лет назад

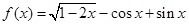
Найти производную функции:

Приложения:

Ответы

Ответ дал: radioactivet0y
0
f^{'}(x)=(sqrt{1-2x}-cos{x}+sin{x})^{'}=\ =frac{1}{2sqrt{1-2x}}*(-2)-(-sin{x})+cos{x}=-frac{1}{sqrt{1-2x}}+sin{x}+cos{x}
f^{'}(x)=(x-1)^{'} arctan{x}+(x-1)(arctan{x})^{'}=\ =arctan{x}+(x-1)*frac{1}{1+x^2}
y{'}=(2ln{x^2}+3sin{2x})^{'}=2^{'}*ln{x^2}+2*(ln{x^2})^{'}+3^{'}*sin{2x}+\ +3*(sin{2x})^{'}=2*frac{1}{x^2}*2x+3*cos{2x}*2=frac{4}{x}+6cos{2x}
Вас заинтересует