• Предмет: Математика
  • Автор: Аноним
  • Вопрос задан 9 лет назад

Помогите пожалуйста решить уравнение:
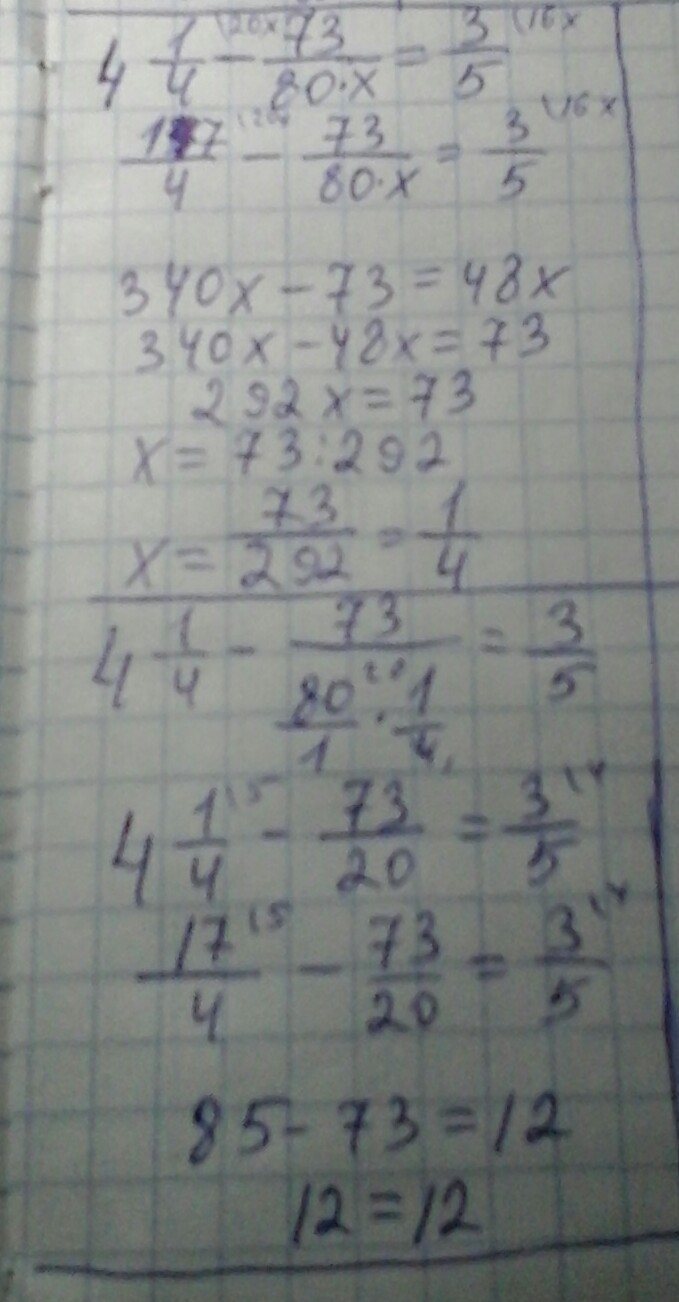
4целых1/4-73/80х=3/5

Ответы

Ответ дал: Часур
0
Пожалуйста. ........
Приложения:
Ответ дал: Аноним
0
А откуда 340 взялось??
Ответ дал: Аноним
0
А как вы в 3ем действии получили 48х?
Ответ дал: Часур
0
общий знаменатель 80х,и первую и третью дробь привели к общему знаменателю
Вас заинтересует