• Предмет: Математика
  • Автор: apugacheva97
  • Вопрос задан 9 лет назад

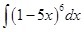
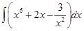
Найти интегралы
помогите пожалуйста решииииить!

Приложения:

Ответы

Ответ дал: Sherlocked13
0
................................
Приложения:
Вас заинтересует