Помогите решить !!!
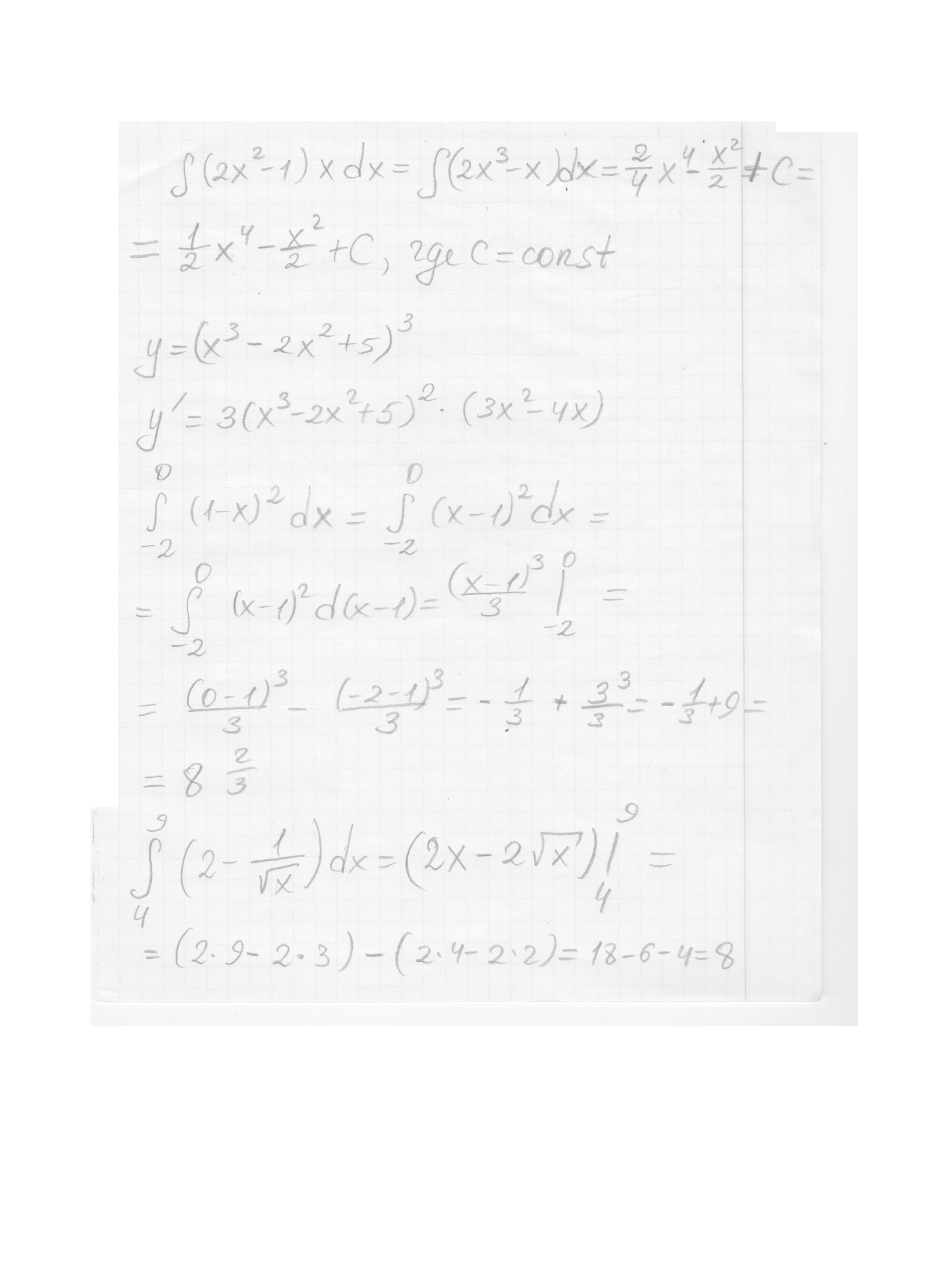
integral (2x^2-1)xdx
y=(x^3-2x^2+5)^3 найти производные функции
integral -2/0 (1-x)^2dx
integral 9/4 (2- 1/корень х)dx
Ответы
Ответ дал:
0
Решение в приложении.
Приложения:

Ответ дал:
0
скорее от людей зависит
Ответ дал:
0
у меня 133 осталось хочу 20 задач поделить
Ответ дал:
0
Я условия верно поняла?
Ответ дал:
0
да верно
Ответ дал:
0
вы молодец
Вас заинтересует
2 года назад
3 года назад
10 лет назад
10 лет назад