• Предмет: Алгебра
  • Автор: ALEXXXANDER
  • Вопрос задан 9 лет назад

Помогите пожалуйста с логарифмами!!!

Приложения:

Ответы

Ответ дал: LFP
0
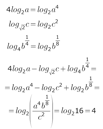
все логарифмы привести к одному основанию...2
Приложения:
Вас заинтересует