• Предмет: Алгебра
  • Автор: au456
  • Вопрос задан 9 лет назад

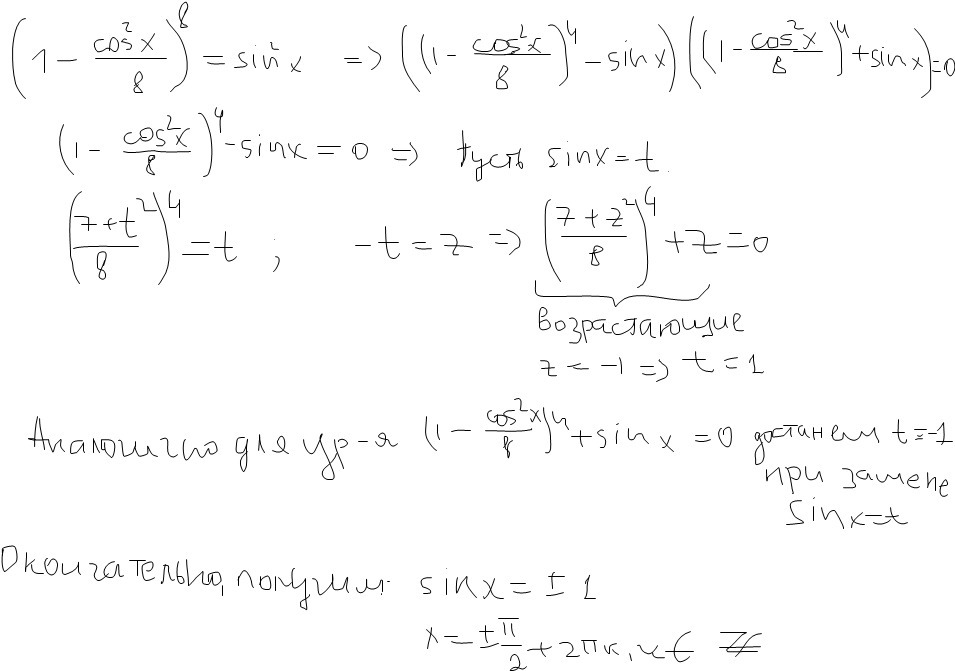
Решить уравнение

(1 - cos^2(x)/8)^8 = sin^2(x)

Ответы

Ответ дал: Аноним
0
Ответ х = ±π/2 + πn, n ∈ Z
Приложения:
Ответ дал: Аноним
0
Ну здесь явно не верно то, что функция возрастающая. Она как и возрастает так и убывает. то что уравнение имеет единственный корень - не доказано. Но можно доказать методом разложения на множителей.
Ответ дал: Аноним
0
Одна функция убывает всегда другая будет и возрастает и убывает, но прямая у=-z будет пересекаться в одной точке на промежутке убывания
Вас заинтересует