• Предмет: Алгебра
  • Автор: aneiasss
  • Вопрос задан 9 лет назад

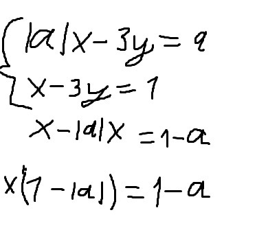
При каких значениях параметра а система
1) Имеет единственное решение?
2) Имеет бесконечно много решений?
3) Не имеет решений?
УМОЛЯЮ!!!! ПОЖАЛУЙСТА!!!

Приложения:

Ответы

Ответ дал: TangerineT
0
При 1 == 1 имеется бесконечно много решений, при а == -1, решений нет, в остальных случаях имеется ровно 1 решение
Приложения:
Ответ дал: TangerineT
0
при а == 1*
Вас заинтересует