показательные уравнения,10 класс. Нужна помощь с 15 примера по 17.Заранее спасибо!!!
Приложения:
Ответы
Ответ дал:
0
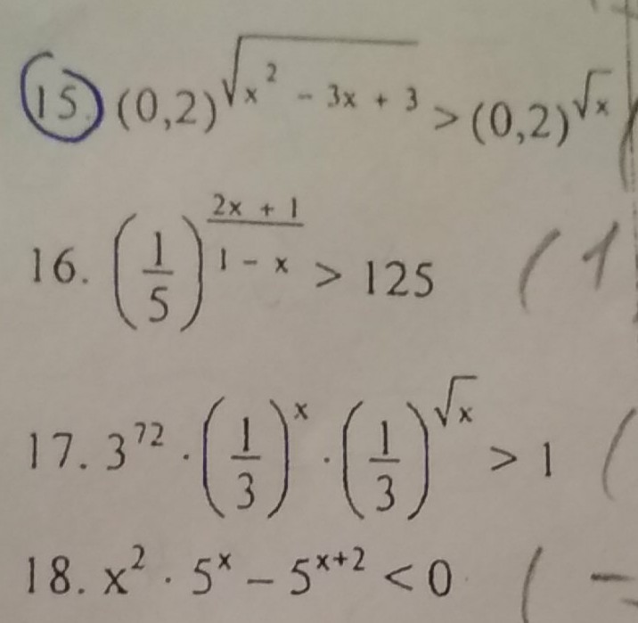
15. √x²-3x+3<√x x²-3x+3<x x²-4x+3<0 1<x<3
x²-3x+3≥0 D<0→всегда ≥0
1<x<3
16. -(2x+1)/(1-x)>3 (2x+1)/(x-1)>3 (2x+1)/(x-1)-3>0
(2x+1)-3(x-1)/(x-1)=(-x+4)/(x-1)>0
(x-4)/(x-1)<0
-----------1------------4----------
+ - + 1<x<4
17. x+√x>72 √x=t t²+t-72>0 t1=-9 не подходит
t2=8 √x=8 x=64
x²-3x+3≥0 D<0→всегда ≥0
1<x<3
16. -(2x+1)/(1-x)>3 (2x+1)/(x-1)>3 (2x+1)/(x-1)-3>0
(2x+1)-3(x-1)/(x-1)=(-x+4)/(x-1)>0
(x-4)/(x-1)<0
-----------1------------4----------
+ - + 1<x<4
17. x+√x>72 √x=t t²+t-72>0 t1=-9 не подходит
t2=8 √x=8 x=64
Ответ дал:
0
спасибо большое!
Вас заинтересует
3 года назад
9 лет назад
9 лет назад
10 лет назад