• Предмет: Математика
  • Автор: almaz253598
  • Вопрос задан 9 лет назад

решите пожалуйста с объяснением

Приложения:

Ответы

Ответ дал: Ruslan007007008009
0
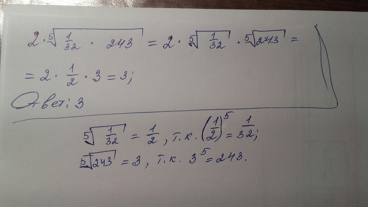
Все решение ниже на фото: 
Приложения:
Ответ дал: Ruslan007007008009
0
Можешь, пж, как лучшее решение отметить))
Ответ дал: FireGulse
0
1/32 представляешь как 1 / 2 в пятой степени. 243= 3 в пятой степени. Извлекаешь из под корня и перемножаешь. получается 3
Приложения:
Вас заинтересует